Изменение термодинамических функций при адсорбции. Термодинамика адсорбции

В случае взаимодействия двух атомов:

U – энергия взаимодействия;

U = U ПРИТЯЖ. + U ОТТАЛК.

- уравнение Леннарда-Джонса , c, b, m = const

В случаях взаимодействия атомов с твердой поверхностью, необходимо провести суммирование всех взаимодействий.

х– расстояние до поверхности

r – радиус действия сил притяжения

dV – объем

n – число молекул поверхности

U АДС. – энергия адсорбционного взаимодействия

В случае адсорбции притяжение усиливается. И в случае при взаимодействии типа неполярное-неполярное адсорбция преимущественно локализуется в углублениях.

Электростатическое взаимодействие.

    Полярный адсорбент – неполярный адсорбат

    Неполярный адсорбент – полярный адсорбат

    Полярный адсорбент – полярный адсорбат.

М олекулу адсорбата представляют как диполь, а адсорбента – как проводник, в котором молекула адсорбата индуцирует диполь зеркально симметрично по отношению к данному.

X – расстояние до середины

При взаимодействии возникает потенциал:

, - дипольный момент.

Потенциал стремится принять максимальное значение, т.е. диполи стремятся сориентироваться перпендикулярно к поверхности.

Поскольку повышение температуры способствует росту Броуновского движения, оно приводит к торможению процесса адсорбции.

В случае электростатического взаимодействия адсорбат преимущественно локализуется на выступах.

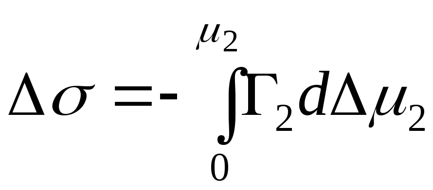
Фундаментальное адсорбционное уравнение.

В случае адсорбции происходит перераспределение компонента, а значит, изменяется химический потенциал. Процесс адсорбции можно рассматривать как переход поверхностной энергии в химическую.

Объем слоя = 0, тогда обобщенное уравнение I и II закона термодинамики:

T = const; (1) = (2) =>

Для двухкомпонентной системы:

,
,

=>

=>
- адсорбционное уравнение Гиббса .

Для случая адсорбции тв. тело – газ: ,

,

- изотерма

- изобара

- изопикна

- изостера

Изотерма, изопикна, изостера связаны друг с другом.

Т.к. адсорбция функция

Изотерма Генри Изотерма Лангмюра

Термодинамика. Адсорбция.

Для конденсированных сред:

,
,

- интегральное изменение энергии Гиббса .

P–давление над искривленной поверхностью, Р S –давление над плоской поверхностью

- адсорбционный потенциал

Дифференциальное изменение энтрапии

, Г = const

- дифференциальное изменение энтропии

- дифференциальная энтальпия адсорбции

- изостерическая теплота адсорбции

- теплота конденсации

- чистая теплота адсорбции

,


Qa – интегральная теплота адсорбции,

Qra – интегральная чистая теплота адсорбции,

Уравнение Генри

Исследование адсорбции затрудняется неоднородностью поверхности, поэтому простейшие закономерности получают для однородных поверхностей.

Рассмотрим взаимодействие газов с твердой поверхностью, когда осуществляется переход газа из равновесного состояния в объеме в равновесное состояние на поверхности. Этот случай аналогичен равновесию газов в поле силы тяжести.

,
, =>
- уравнение Генри

- коэффициент распределения

В процессе адсорбции происходит изменение химических потенциалов.

Для объемной фазы:

Для газа на поверхности:

В состоянии равновесия
, т.е.

В уравнении Генри константа не зависит от концентрации

Уравнение Генри выполняется в области низких давлений и концентраций. По мере роста концентрации возможны 2 типа отклонений от закона Генри:

1 – положительные отклонения, D уменьшается, А уменьшается

2 – отрицательные отклонения, D – возрастает, А – возрастает.

Тип отклонения определяется преобладанием тот или иного типа взаимодействия адсорбент-адсорбат.

При сильном адгезионном взаимодействии коэффициенты активности возрастают – положительное отклонение. В случае когезионных взаимодействий наблюдаются отрицательные отклонения.

Мономолекулрная адсорбция.

Изотерма Лангмюра.

Простейшие закономерности были получены в теории генри. Ленгмюр предложил теорию, согласно которой, адсорбция рассматривается как квазихимическая реакция. При этом:

    Поверхность энергетически однородна.

    Адсорбция локализована, каждый адсорбционный центр взаимодействует с одной молекулой адсорбата.

    Молекулы адсорбата не взаимодействуют друг с другом.

    Адсорбция монослойна.

- поверхность, - адсорбат,
- адсорбционный комплекс.

, тогда концентрация адсорбционных мест:
,
- предельная адсорбция.

, тогда константа реакции:

- уравнение Лангмюра.

Зависимость адсорбции от концентрации

1 )

,

2) область высоких концентраций

- предельная адсорбция, образование мономолекулярного слоя

Для энергии Гиббса: .

g – энтропийный множитель.

В случае изотермы Генри энергия Гиббса характеризует переход адсорбата из стандартного состояния в объёме в стандартное состояние на поверхности. В случае изотермы Ленгмюра
характеризует степень сродства адсорбента и адсорбата.

находят из изобары Вант-Гоффа.

, тогда
, отсюда
.

- степень заполнения поверхности.

- число свободных мест, - число занятых мест.

,

Т.е. в области высоких концентраций число свободных мест обратно пропорционально количеству адсорбата.

Адсорбция смеси газов на однородной поверхности.

В этом случае процесс адсорбции рассматривают как две параллельно протекающие реакции.

(1)

(2)

Адсорбция смеси газов на неоднородной поверхности.

    В случае неоднородной поверхности нельзя ограничиваться средними заполнениями.

    В следствие конкурентной борьбы, на участках различных типов возможна локализация различных адсорбатов.

В этом случае отношение
.

, - давление насыщенного пара адсорбата.

, - теплоты адсорбции.

«+» - симбатная зависимость, «-» - антибатная зависимость, «Н» - корреляции нет.

«+» - адсорбция протекает по одинаковому механизму. На наиболее энергетически выгодных участках преимущественно адсорбируется газ, обладающий большим сродством к поверхности.

«-» - адсорбция протекает по различным механизмам и до определенного момента времени конкурентной борьбы за поверхность нет.

Мономолекулярная адсорбция преимущественно реализуется при физической адсорбции газов при малых значениях p , а также на границе раздела жидкость/газ.

Полимолекулярная адсорбция.

Теория БЭТ (Брунауэр, Эммет, Теллер).

В случае, когда образование монослоя недостаточно для компенсации поверхностной энергии, адсорбция полимолекулярна и её можно рассматривать как результат вынужденной конденсации под действием поверхностных сил.

Основные положения:

    При попадании молекулы адсорбата на занятое место образуется кратный комплект.

    По мере приближения p к p s уменьшается число свободных адсорбционных мест. Первоначально увеличивается, а затем уменьшается число мест, занятых единичными, двойными и т.д. комплектами.

    При p = p s адсорбция переходит в конденсацию.

    Горизонтальные взаимодействия отсутствуют.

    Для первого слоя выполняется изотерма Лангмюра.

Поверхность рассматривается как совокупность адсорбционных мест. Справедливо условие динамического равновесия: скорость конденсации на свободных местах равна скорости испарения с занятых.

a – коэффициент конденсации (доля молекул, сконденсировавшихся на поверхности);

,

Zm – максимальное число свободных мест.

- частота колебаний атомов в направлении перпендикулярном к поверхности.

Для первого слоя условия динамического равновесия:

, тогда

- уравнение Лангмюра.

Для второго слоя будет справедливо:

Для i-го слоя:

Для упрощения принимают, что а и ν одинаковы для всех слоев, кроме первого. Для всех слоев кроме первого теплота адсорбции постоянна. Для последнего слоя теплота адсорбции равна теплоте конденсации. В результате было получено уравнении

(*)

C – константа,

В случае теории БЭТ, константа С характеризует энергию Гиббса чистой адсорбции. Уравнение содержит только одну константу, а также это уравнение очень важно для определения удельной поверхности адсорбента.

Поскольку в результате адсорбции теплота выделяется, определение удельных поверхностей ведут при низких температурах.

????????????

Основной недостаток теории – пренебрежение горизонтальными взаимодействиями в пользу вертикальных.

Уравнение выполняется в области значений от 0,05 до 0,3.

Там, где < 0,05 – существенное влияние оказывает неоднородность поверхности.

> 0,3 – сказывается взаимодействие адсорбат – адсорбат.

Учет взаимодействий адсорбат-адсорбат.

Взаимодействия проявляются при адсорбции на неполярной поверхности разветвленных молекул или молекул. Способных образовывать ассоциаты. В этом случае изменяется форма изотерм адсорбции.

А дсорбент не полярен.

Графику 1 соответствуют слабые взаимодействия адсорбат-адсорбат, сильное адсорбат-адсорбент.

Графику 2 соответствуют сильное взаимодействие адсорбат-адсорбат, сильное адсорбат-адсорбент.

Графику 3 соответствуют сильное взаимодействие адсорбат-адсорбат, слабое адсорбат-адсорбент.

,

В случае взаимодействия между молекулами адсорбата необходим учет изменения коэффициентов активности. И это уравнение записывают в виде:

- уравнение Фрункина, Фаулера, Гугенгейма.

k – аттракционная постоянная.

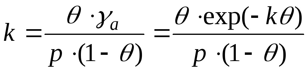
Потенциальная теория Поляни.

Данная теория не выводит какого-либо типа изотермы адсорбции, а дает возможность расчета изотерм при другой температуре.

Адсорбция – это результат притяжения адсорбата к поверхности адсорбента за счет действия адсорбционного потенциала, который не зависит от присутствия других молекул и зависит от расстояния между поверхностью и молекулой адсорбата.

, - адсорбционный потенциал.

Поскольку поверхность неоднородная, расстояние заменяют на адсорбционный объём . Адсорбционный объём – это объём, заключенный между поверхностью и точкой, соответствующей данному значению .

Адсорбционный потенциал – это работа перенесения 1 моль адсорбата вне данного адсорбционного объёма в данную точку адсорбционного объёма (или работа переноса 1 моль насыщенного пара адсорбата, находящегося в равновесии с жидким адсорбатом в отсутствии адсорбента в равновесную с адсорбентом паровую фазу).

Характеристическая кривая

- адсорбционный потенциал,

Для данного адсорбента и различных адсорбатов справедливо:

Для разных типов адсорбатов
,

где
потенциалы для изотерм адсорбции при относительных давлениях для адсорбата 1 и для адсорбата 2. Это отношение есть величина постоянная.

- коэффициент аффинности

Теория капиллярной конденсации.

Протекание процесса адсорбции во многом зависит от структуры пористого тела.

Микропористые

Переходнопористые

Макропористые

В случае микропористых сорбентов, поля адсорбционных сил перекрываются. В случае макропористых сорбентов, поры выполняют роль транспортных каналов. Процессы коденсации наиболее значимы в переходнопористых телах. Капиллярная конденсация начинается при определенных значениях p и , когда часть поверхностной энергии уже скомпенсирована. Необходимое условие – поверхность должна быть самчиваема. Процее описывается уравнением Томпсона – Кельвина .

- для случая смачивания, центр кривизны находится в газовой фазе.

В случае капиллярной конденсации изотерма адсорбции имеет гистерезисный вид. Процессу адсорбции соответствует нижняя ветвь, процессу десорбции – верхняя.

Все виды пор можно свести к трем видам:

Конические

Цилиндрические с одним закрытым концом

Цилиндрические с двумя открытыми концами

Процессное заполнение осуществляется со дна поры.

Изтерма адсорбции и изотерма десорбции в этом случае совпадают, поскольку процесс адсорбции начинается со сферы и процесс десорбции также начинается с исчезновения некоторых сфер.


Гистерезиса нет. Прямой и обратный ход описываются уравнением:

Дна нигде нет, заполнение поры пойдет по стенкам цилиндра.

- сфера,

цилиндр:
,

Изотерма и будет иметь гистерезисный вид.


В условиях смачивания конденсация осуществляется при более низких давлениях, что энергетически выгодно. По десорбционной ветви получают кривые распределения пор по размерам.

Максимум дифференциальной кривой смещен влево относительно точки перегиба интегральной. Общий объём малых пор невелик, однако имеет большие значения площади поверхности. С увеличением размера пор, их объём возрастает как , а площадь как , за счет этого и наблюдается смещение максимума дифференциальной кривой.

Адсорбция на границе твердое тело – жидкость.

В случае адсорбции на границе твердое тело – газ, мы пренебрегали одним компонентом. В случае адсорбции на границе твердое тело – жидкость адсорбат вытесняет с поверхности адсорбента молекулы растворителя.

,

Справедливо уравнение:

,

N 1 , N 2 – мольные доли растворителя и компонента, N 1 + N 2 = 1, тогда

, =>
, тогда- уравнение адсорбции для границы раздела фаз твердое тело – жидкость.

Адсорбция (Г) > 0 при < 0

Если значения для компонента и растворителя сильно различны, в этом случае зависимость Г от N имеет экстремум при значении N ~ 0,5.

Е сли имеют близкие значения, в этом случае возможно изменение знака адсорбции. Зависимость Г от N пересекает ось абсцисс

Точка пересечения функции Г ( N ) с осью абсцисс называется адсорбционным азеотропом . Это значит, что два компонента не могут быть разделены на данном адсорбенте.

Уравнение изотермы адсорбции с константой обмена.

При адсорбции на границе твердое тело – жидкость постоянно происходит перераспределение компонентов между поверхностью адсорбента и объемом раствора.

- компоненты (- - относятся к поверхности)

,
,
.

,

Адсорбция на границе жидкость-газ

Р ассмотрим изменение концентрационного профиля по мере пересечения границы раздела жидкость-газ. Пусть компонент 2 летуч.

Cs – концентрация в поверхностном слое.

Исходя из определения избыточной адсорбции

Если компонент не летуч, то величина адсорбции запишется следующим образом:

П
ри

В уравнении
природа вещества описывается производной .

Изотерма поверхностного натяжения может иметь вид 1 или 2:

1 – поверхностноинактивные вещества

2 – поверхностноактивные вещества

Поверхностной активностью g называется способность веществ снижать поверхностное натяжение в системе.

- толщина поверхностного слоя

C s – концентрация компонента в поверхностном слое

С – объемная концентрация

Для гомологического ряда существует правило:

- правило Траубо Дюкло

Для гомологического ряда изотерма адсорбции выглядит таким образом:

Вместо A пишем Г, так как адсорбция избыточная в поверхностном слое.

Изотерма поверхностного натяжения:

- поверхностное натяжение чистого растворителя.

- фундаментальное адсорбционное уравнение;

- уравнение Лангмюра.

Решим их совместно:

- уравнение Шишковского.

B – константа для гомологического ряда.

A - при переходе от одного гомолога к другому увеличивается в 3-3,5 раза

1 – область малых концентраций

2 – средняя концентрация

3 – мономолекулярный слой

Поверхностноактивные вещества представляют собой дифильные молекулы, т.е. включают полярную группу и неполярный углеводородный радикал.

o - полярная часть молекулы.

| - неполярная часть молекулы.

В полярном растворителе молекулы ПАВ ориентируются таким образом, что полярная часть молекулы обращена к растворителю, а неполярная выталкивается в газовую фазу.

В уравнении Шишковского
, она постоянна для гомологического ряда.

Поверхностноактивное действие начинает проявляться с n >5. При концентрациях больших, чем концентрация мономолекулярного слоя, в растворах ПАВ происходит мицеллообразоваие.

Мицелла – называется агрегат молекул дифильных ПАВ, углеводородные радикалы которых образуют ядро, а полярные группы обращены в водную фазу.

Масса мицеллы – мицелляльная масса.

Ч
исло молекул – число агрегации.

Сферические мицеллы

В случае мицеллообразования в растворе устанавливается равновесие

ККМ – критическая концентрация мицеллообразования.

Поскольку мы считаем мицеллу отдельной фазой:

Для гомологического ряда существует эмпирическое уравнение:

a – энергия растворения функциональной группы.

b – инкремент адсорбционного потенциала, работа адсорбции на одно метиленовое звено.

Наличие в мицеллах углеводородного ядра создает возможность для растворения в водных растворах ПАВ соединений, которые не растворимы в воде, это явление называется солюбилизацией (то, что растворяется – солюбилизат, ПАВ – солюбилизатор).

Грязь может быть совсем не полярна, может содержать как полярную, так и не полярную часть и будет ориентироваться как молекула ПАВ.

В любом случае при солюбилизации происходит увеличение мицеллярной массы и числа агрегации не только за счет включения солюбилизата, но и за счет увеличения числа молекул ПАВ, необходимых для поддержания равновесного состояния.

Солюбилизация тем эффективнее, чем меньше молекулярная масса солюбилизата.

~ 72 мН\м.

~ 33 мН\м.

Эффективность ПАВ зависит от величины ККМ.

Двухмерное давление поверхностного слоя

→ -силы поверхностного натяжения.

- двухмерное давление.

Поверхностный слой – это сила равная разности поверхностных натяжений раствора ПАВ и чистого растворителя, направленная в сторону чистой поверхности.

Между раствором и поверхностным слоем устанавливается равновесие

При
существует область, где
линейно зависит от концентрации.

Г [моль/м 2 ].

-площадь, занимаемая одним молем вещества

Тогда изотерма двухмерного давления будет иметь вид

- изотерма двухмерного давления.

Зависимость
отS М:

При
- двухмерное давление резко возрастает. При
двухмерный деформируется, что вызывает резкий рост
.

Пленка с обеих сторон ограниченная одинаковыми фазами называется двусторонней. В таких пленках наблюдается постоянное движение маточного раствора.

Пленки толщиной меньше 5 нм называются черными пленками.

Адсорбционные слои должны обладать двумя характеристиками: вязкость и легкоподвижность, текучесть и упругость.

Эффект Марангони – это самозалечивание.

Треугольник Гиббса,
- избыточное давление.

Пленка растянулась и за счет того, что часть жидкости ушла, ПАВ усремляются в свободное место. Треугольник Гиббса.

Эффект адсорбционной прочности тел.

На поверхности пленки всегда существует адсорбционный слой, для которого , тогда

Уравнение Лангмюра:



в двухмерное давление

- аналог уравнения Шишковского

Электрокинетические явления. Двойной электрический слой (ДЭС).

Модель Гелемгольца. Теория Гуи-Чапмена.

1808 г. Рейс

U образная трубка, погружают в неё 2 электрода. Закон сообщающихся сосудов нарушается и происходит изменение уровня жидкости в трубке – электрокинетические явления.

Кинетические явления:

    Электрофорез

    Электроосмос

    Потенциал течения (протекания)

    Потенциал седиментации

1 и 2 возникают при наложении разности потенциалов, 3 и 4 продавливание и седиментация коллоидных частиц вызывают появление разности потенциалов.

Электроосмосом называется движение дисперсионной среды относительно неподвижной дисперсной фазы под действием электрического тока.

Электрофорез – это движение частиц дисперсной фазы относительно неподвижной дисперсионной среды под действием электрического тока.

П ричина возникновения электрокинетических явлений – это пространственного разделение зарядов и возникновение двойного электрического слоя.

Двойной электрический слой представляет собой плоский конденсатор, одна обкладка образована потенциалоределяющими ионами, другая – противоиноами. Ионы заражены также как потенциалопределяющие ко-ионы оттеснены в объем раствора. Расстояние между обкладками . Потенциал падает линейно, разность потенциалов
.

Внешняя разность потенциалов вызывает появление модуля сдвига - это пара сил отнесенных к единице площади, девствующих вдоль поверхности твердого тела.

В состоянии равновесия модуль сдвига равен модулю вязкого трения (
).

В наших условиях
,

- уравнение Гелемгольца-Смалуковского

- линейная скорость смещении я фаз.

E – напряженность электрического поля.

- разность потенциалов между обкладками

- электрофоретическая подвижность [м 2 /(В*с)].

В модели Гелемгольца не учитывается тепловое движение молекул. Реально распределение ионов в двойном слое носит более сложный характер.

Гуи и Чапман выделили следующие причины возникновения ДЭС:

    Переход иона из одной фазы в другую при установлении равновесия.

    Ионизация вещества твердой фазы.

    Достройка поверхности ионами, присутствующими в дисперсионной среде.

    Поляризация от внешнего источника тока.

Двойной электрической слой имеет размытое или диффузное строение. Ионы стремятся равномерно распределиться во всем диффузном слое.

Диффузный слой состоит из противоинонв, протяженность слоя определяется их кинетической энергией. При температуре стремящейся к абсолютному нулю противоиноы максимально приближены к потенциалопределяющим ионам.

Даня теория базируется на двух уравнениях:

уравнение Больцмана

- работа против сил электростатического взаимодействия.

- объёмная плотность заряда.

Уравнение Пуассона

Поскольку толщина ДЭС много меньше размеров частицы и для плоского ДЭС производная по координатам и упраздняется.

Для е у при у<<1 функцию можно разложить в ряд Маклорена:

Ограничимся двумя членами ряда, тогда:

- толщина ДЭС – это расстояние, на котором потенциал ДЭС уменьшается в e раз.

Чем меньше температура, тем меньше . При Т→0 – плоский ДЭС. Чем больше концентрация, тем большеI, тем меньше .


«–» означает, что потенциал с расстоянием уменьшается. =>

=>

,
- потенциал экспоненциально уменьшается.

Потенциал для поверхностной плотности заряда:

Поверхностный заряд – объемный заряд с противоположным знаком, проинтегрированный по расстоянию.



=>

Там, где потенциал уменьшается в 2,7 раза -

Ёмкость двойного слоя

Недостаток теории – не учитывается наличие слоя Гелемгольца, т.е. не учитывает , отсюда ошибки в определении основных параметров. Также не объясняет влияние ионов различной природы на толщину двойного электрического слоя.

Теория Штерна. Строение коллоидной мицеллы.

Двойной электрический слой состоит из двух частей: плотной и диффузной. Плотный слой образуется в результате взаимодействия потенциалобразующих ионов со специфически адсорбирующимися. Эти ионы, как правило, частично или полностью дегидратированы и могут иметь как одинаковый, так и противоположный к потенциалопределяющим ионам заряд. Это зависит от соотношения энергии электростатического взаимодействия
и потенциала специфической адсорбции
. Ионы плотного слоя закреплены. Другая часть ионов расположена в диффузном слое, эти ионы свободны и могут перемещаться вглубь раствора, т.е. из области большей концентрации в область меньшей. Общая плотность заряда складывается из двух частей.

-заряд слоя Гельмгольца

-Заряд диффузного слоя

Поверхность имеет определенное число адсорбционных центров, каждый из которых взаимодействует с одним противоионом. Константа такой квазихимической реакции равна:

, где - мольная доля противоионов в растворе

Распределение Гельмгольца

Потенциал убывает линейно

Распределение потенциала по Гуи . Плотного слоя нет, потенциал убывает экспоненциально со значения

Распределение по Штерну .

Вначале снижение потенциала линейно, а затем экспоненциально.

При наложении электрического поля в случае электрофореза движется не непосредственно частица твердой фазы, а частица твердой фазы со слоем окружающих её ионов. ДЭС повторяет форму частицы дисперсной фазы. При наложении потенциала отрывается часть диффузного слоя. Линия разрыва называется границей скольжения .

Потенциал, возникающий на границе скольжения в результате отрыва части диффузного слоя, называется электрокинетическим потенциалом (Дзэта потенциал ).

Частица дисперсной фазы, с окружающим её слоем противоионов и двойным электрическим слоем называется мицеллой .

Правила написания коллоидных мицелл:


1-1 зарядный электролит

T – частица дисперсной фазы.

AA – граница плотной и диффузной части.

BB – граница скольжения.

Граница скольжения может совпадать с линией AA, а может и не совпадать.

Значения pH, при котором дзэта-потенциал равен нулю, называется изоэлектрической точкой .

CaCl 2 + Na 2 SO 4 → CaSO 4 ↓ + 2NaCl

1. В избытке CaCl 2

CaCl 2 ↔ Ca 2+ + 2Cl -

{CaSO 4 m∙nCa 2+ 2( n - x )Cl - } 2 x + x Cl - - запись мицеллы.

CaSO 4 m – агрегат.

CaSO 4 m∙nCa 2+ – ядро.

CaSO 4 m∙nCa 2+ 2( n - x )Cl - - частица.

2. В избытке Na 2 SO 4

Na 2 SO 4 ↔2Na + + SO 4 2-

{CaSO 4 m∙nSO 4 2- 2(n-x)Na + } 2x- 2xNa + - мицелла

CaSO 4 m – агрегат.

CaSO 4 m∙nSO 4 2 + – ядро.

CaSO 4 m∙nSO 4 2- 2(n-x)Na + - частица

Уравнение Гелемгольца-Смолуховского

- линейная скорость смещения границ (в электроосмосе).

- разность потенциалов на обкладках конденсатора (в электроосмосе).

- объемная скорость течения раствора, S – площадь поперечного сечения ячейки.

E – напряженность электрического поля.

(для электроосмоса).

Для потенциала течения:

- потенциал

- давление на мембрану

Как правило, значение электрофоретических подвижностей и электроосмотических подвижностей меньше расчетных. Это происходит вследствие:

    Релаксационного эффекта (при движении частицы дисперсной фазы нарушается симметрия ионной атмосферы).

    Электрофоретического торможения (возникновение дополнительного трения в результате движения противоионов).

    Искажение линий тока в случае электропроводных частиц.

Связь поверхностного натяжения с потенциалом. Уравнение Липпмана.

Образование ДЭС происходит самопроизвольно вследствие стремления системы снизить свою поверхностную энергию. В условиях постоянства T и p обобщенное уравнение первого и второго законов термодинамики выглядит:

(2)

(3), (1)=(3) =>

=>

- 1-е уравнение Липпмана.

- поверхностная плотность заряда.

- дифференциальная емкость.

- 2-е уравнение Липпмана.

С – емкость.

Решим 1-е уравнение Липпмана и фундаментальное уравнение адсорбции:

,

, тогда

- уравнение Нернста

,
,

- уравнение электрокапиллярной кривой (ЭКК).

В
:
, но

Катионные ПАВы (КПАВ) снижают катодную ветвь ЭКК.

Анионные ПАВы (АПАВ) снижают анодную ветвь ЭКК.

Неионогенные ПАВы (НПАВ) снижают среднюю часть ЭКК.

Устойчивость дисперсных систем. Расклинивающее давление.

Дисперсные системы можно разделить:

Системы неустойчивые термодинамически могут быть устойчивы кинетически за счет перехода в метастабильное состояние.

Различают два вида устойчивости:

    Седиментационная устойчивость (по отношению к силе тяжести).

    Агрегативная устойчивость. (по отношению к слипанию)

Коагуляция – это процесс слипания частиц, приводящий к потере агрегативной устойчивости. Коагуляцию может вызвать изменение температуры, pH, перемешивание, ультразвук.

Различают коагуляцию:

    Обратимая.

    Необратимая.

Коагуляция протекает при введении электролитов.

Правила коагуляции:

Плёнка – это часть системы, находящаяся между двумя межфазными поверхностями.

Расклинивающее давление возникает при резком уменьшении толщины плёнки в результате взаимодействия сближающихся поверхностных слоев.

«-» - при уменьшении толщины пленки расклинивающее давление возрастает.

P 0 – давление в объемной фазе, которая является продолжением прослойки.

P 1 – давление в пленке.

Теория устойчивости. ДЛФО (Дерягин, Ландау, Фервей, Овербек).

Согласно теории ДЛФО в расклинивающем давлении выделяют две составляющие:

    Электростатическая П Э (положительная, она обусловлена силами электростатического отталкивания). Соответствует уменьшению энергии Гиббса при возрастании толщины пленки.

    Молекулярная П М (отрицательная, обусловлена действием сил притяжения). Обусловлена сжатием пленки за счет химических поверхностных сил, радиус действия сил десятые доли нм с энергией порядка 400 кДж/моль.

Полная энергия взаимодействия :

- система агрегативно устойчивая

- неустойчивая система

П оложительная составляющая.

Увеличение обусловлено увеличением потенциальной энергии при сжатии тонких пленок. Для пленок большой толщины избыточная энергия ионов скомпенсирована и равна энергетическому взаимодействию в объеме дисперсионной среды.

Если
( - толщина пленки, - радиус иона) утоньшение пленки приводит к исчезновению и уменьшению в ней молекул и ионов с минимальной поверхностной энергией. Число соседних частиц уменьшается, в результате чего потенциальная энергия оставшихся в пленке частиц возрастает.

Теория ДЛФО взаимодействие частиц рассматривает как взаимодействие пластин.

Частицы не взаимодействуют

- уравнение Лапласа,
,

Для слабо заряженных поверхностей

Для сильно заряженных поверхностей:

Молекулярная составляющая – взаимодействие двух атомов:

~

Взаимодействие атома с поверхностью:

Возьмем две пластинки:

Д ля получения молекулярной составляющей необходимо провести суммирование всех энергий взаимодействия атомов правой и левой пластин.

где
- постоянная Гамакера (учитывает природу взаимодействующих тел).

Т.о. энергия взаимодействия частиц в системе может быть выражена с помощью потенциальных кривых.

I – первичный потенциальный минимум. Это зона необратимой коагуляции, силы притяжения преобладают.

II – зона агрегативной устойчивости, преобладают силы отталкивания.

III – вторичный потенциальный минимум (или зона флокуляции). Между частицами дисперсной фазы существует прослойка электролита, и частицы могут быть разделены и переведены в зону агрегативной устойчивости.

Кривая 1 – система агрегативно устойчива.

Кривая 2 – в зоне I устойчива, в зоне II не устойчива.

Кривая 3 – в системе произошла коагуляция.

Кривая 4 – в точке 4 суммарная энергия взаимодействия U=0,
, эта точка экстремума соответствует началу быстрой коагуляции.

Существует два случая:

1. Поверхности слабозаряженные:

U = U Э + U M = 0

(1)

2)

(2)



- это толщина прослойки соответствующая началу процессу коагуляции.

- для слабозаряженных поверхностей

тогда

2. Для сильнозаряженных поверхностей:

(1)

2)

(2)

(3)

,

Возведем (3) в квадрат

Коагуляция:

При специфической адсорбции ионы могут адсорбироваться в сверхэквивалентном количестве таким образом, что поверхность может изменить свой заряд. Происходит перезарядка поверхности.

В случае специфической адсорбции могут адсорбироваться ионы не только противоположных знаков, но и одного.

Если адсорбируются ионы того же знака, что и поверхность, то в поверхностном слое будет происходить не падение потенциала, а его рост.

    Нейтрализационная коагуляция (протекает с участием слабозаряженных частиц и зависит не только от заряда электролита-коагулятора, но и от потенциала на границе плотного и диффузного слоя).

Теория быстрой коагуляции Смолуховского.

Зависимость скорости коагуляции от концентрации электролита.

I – скорость коагуляции мала,

II – скорость коагуляции практически пропорциональна концентрации электролита.

III – область быстрой коагуляции, скорость практически не зависит от концентрации.

Основные положения :

    Исходный золь монодисперсный, сходные частицы имеют сферическую форму.

    Все столкновения частиц результативны.

    При столкновении двух первичных частиц образуется вторичная. Вторичная + первичная = третичная. Первичное, вторичное, третичное – кратность.

В терминах химической кинетики процесс коагуляции может быть описан уравнением:

Решением будет уравнение:

- время половинной коагуляции. Это время, в течение которого число частиц золя уменьшается в 2 раза.

,
,

,

По мере увеличения кратности максимум кривых коагуляции сдвигается в сторону больших значений .

Недостатки:

    Предположение о монодисперсности.

    Предположение о результативности всех столкновений.

Кузнецова Е.С. и Буряк А.К. провели сопоставление термодинамических характеристик адсорбции аминокислот и их ассоциатов. В работе было исследовано влияние строения аминокислот, их димеров и ассоциатов с компонентами элюента на их адсорбцию на поверхности углеродных материалов. Проведен молекулярно-статистический расчет термодинамических характеристик адсорбции (ТХА) для ароматических аминокислот (фенилаланина, тирозина), гетероциклической аминокислоты (триптофана) и их димеров с трифторуксусной кислотой (ТФУ) на поверхности графитированной термической сажи (ГТС). Полученные данные сопоставлены с закономерностями удерживания аминокислот на пористом графитированном углероде Гиперкарбе в условиях обращенно-фазовой высокоэффективной жидкостной хроматографии (ОФ ВЭЖХ). Показано, что ТХА и величины удерживания аминокислот возрастают с увеличением углеродной цепи этих соединений.

Школиным А. В., и Фомкиным А. А. был проведен анализ поведения термодинамических функций (дифференциальной мольной изостерической теплоты адсорбции, энтропии, энтальпии и теплоемкости) адсорбционной системы метан-микропористый углеродный адсорбент АУК в зависимости от параметров адсорбционного равновесия в интервалах температур от 177.65 до 393 К и давлений от 1 Па до 6 МПа. Учет влияния неидеальности газовой фазы и неинертности адсорбента привел к появлению температурной зависимости изостерической теплоты адсорбции, особенно в области высоких давлений адсорбтива. Для исследованной системы основное влияние на термодинамические функции адсорбционной системы оказывает неидеальность газовой фазы. Поправка на неинертность адсорбента в данном интервале параметров адсорбционной системы составляет не более 2.5%.

В институте общей и неорганической химии Академии наук Республики Узбекистан Муминов С.З. в своей работе исследовал изменения поверхностных свойств и пористой структуры монтмориллонита при замещении обменных катионов минерала на полигидроксиалюминиевые. Предварительное термовакуумирование оказывает существенное влияние на адсорбционные свойства полигидроксиалюминиевого монтмориллонита по отношению к метиловому спирту. По данным серий изостер адсорбции СН3 на дегидратированных натриевом и модифицированном монтмориллонитах, измеренных в широком температурном интервале, установлены зависимости теплоты адсорбции от количества адсорбированного вещества.

Н.С. Казбанов, А.В. Матвеева и О.К. Красильникова проведели исследование адсорбции фенола из водных растворов активированными углями типа ФАС, ПАУ и углеродным войлоком при температурах 293, 313 и 343К в интервале концентраций 5 - 250 ммоль/л. Серию образцов последовательно активированного угля ФАС, отличающегося узким распределением пор по размерам, получали карбонизацией полимеров на основе фурфурола. ПАУ -это микропористый полимерный активированный уголь. Углеродный войлок представляет собой волокнистый материал на основе гидратцеллюлозных волокон. Параметры пористой структуры адсорбентов определяли по изотермам адсорбции паров азота при 77 К (ASAP-2020, Micromeritics, USA). Исследования адсорбции растворов проводили ампульным методом в термостате. Отобранные пробы анализировали методом спектрофотомерии. Анализ полученных изотерм жидкофазной адсорбции был проведен с помощью теории объёмного заполнения микропор (ТОЗМ) по уравнению Дубинина- Радушкевича (ДР).

Влияние температуры на сорбцию из жидких растворов неоднозначно. С одной стороны, для микропористых адсорбентов проникновение молекул в поры, сравнимые по размеру с этими молекулами, зависит от кинетической энергии и, соответственно, увеличивается с температурой. С другой стороны, физическая адсорбция представляет собой экзотермический процесс, и адсорбция уменьшается с температурой. Соотношением этих факторов для каждой системы и определяется ход температурной зависимости адсорбции.

Уникальность системы адсорбент - фенол состоит в том, что она имеет обратную температурную зависимость изотерм адсорбции т.к. при увеличении температуры от 293 до 313 К предельная величина адсорбции растёт, что по-видимому связано с молекулярно-ситовым эффектом: с увеличением температуры молекулы фенола способны проникать в более узкие поры углеродных материалов. Адсорбция происходит в основном в микропорах, поскольку адсорбенты обладают небольшим количеством мезопор. По мере увеличения размера микропор величины предельной адсорбции значительно увеличиваются, достигая 2,9 ммоль/г для ПАУ, 8,5 ммоль/г для ФАС и 12,7 ммоль/г для войлока. Полученные изотермы адсорбции хорошо описываются уравнением ДР с показателем степени, равным 2.

Термодинамика адсорбционных процессов.

Наименование параметра Значение
Тема статьи: Термодинамика адсорбционных процессов.
Рубрика (тематическая категория) Образование

Основные определœения и способы классификации адсорбционных процессов.

Адсорбция относится к явлениям, происходящим вследствие самопроизвольного уменьшения поверхностной энергии.

Адсорбция – процесс самопроизвольного обратимого или необратимого перераспределœения компонентов гетерогенной системы между поверхностным слоем и объёмом гомогенной фазы.

В многокомпонентных системах в поверхностный слой предпочтительнее переходит компонент, который сильнее снижает межфазное натяжение. В однокомпонентных системах при формировании поверхностного слоя происходит изменение его структуры (определœенная ориентация атомов и молекул, поляризация), называемое автоадсорбцией .

Более плотную фазу, на которой локализованы адсорбционные взаимодействия называют адсорбентом . Вещество, перераспределяемое между объёмом гомогенной фазы и поверхностным слоем, обозначают термином ʼʼ адсорбат ʼʼ.

В ряде случаев процесс адсорбции является обратимым. В этом случае при определœенных условиях часть адсорбированных молекул в результате молекулярно-кинœетических явлений может перейти из поверхностного слоя в объём фазы. Процесс, обратный адсорбции, называют десорбцией .

Способы классификации адсорбционных процессов.

Классификация адсорбционных процессов по агрегатному состоянию взаимодействующих фаз. Учитывая зависимость отагрегатного состояния смежных фаз различают следующие типы адсорбционных процессов:

Адсорбция газов на твердых адсорбентах;

Адсорбция растворенных веществ на границах раздела ʼʼтвердое тело – жидкостьʼʼ и ʼʼжидкость – жидкостьʼʼ;

Адсорбция поверхностно-активных веществ на границе раздела ʼʼжидкость – газʼʼ.

Классификация адсорбционных процессов по механизму взаимодействия адсорбента и адсорбата. Адсорбцию можно рассматривать как взаимодействие молекул адсорбата с активными центрами адсорбента. По механизму их взаимодействия подразделяют следующие виды адсорбции:

1) физическая (молекулярная) адсорбция – взаимодействие между молекулами адсорбата и адсорбента осуществляется за счёт сил Ван-дер-Ваальса, водородных связей (без протекания химических реакций);

2) химическая адсорбция (хемосорбция) – присоединœение молекул адсорбата к активным центрам адсорбента происходит в результате протекания химических реакций различных типов (за исключением реакций ионного обмена);

3) ионообменная адсорбция (ионный обмен) – перераспределœение вещества адсорбата между раствором и твердой фазой (ионитом) по механизму реакций ионного обмена.

Для количественного описания адсорбционных процессов применяют две величины.

1) Абсолютная адсорбция – количество (моль) или масса (кг) адсорбата на единицу площади поверхности или массы адсорбента. Обозначение – А; размерность: моль/м 2 , моль/кг, кг/ м 2 , кг/кᴦ.

2) Гиббсовская (избыточная) адсорбция – избыток вещества адсорбата в поверхностном слое определœенной толщины по сравнению с его количеством в объёме гомогенной фазы, отнесенный к единице площади поверхности или массы адсорбента. Обозначение – Г; размерность: моль/м 2 , моль/кᴦ.

Связь между абсолютной и избыточной адсорбции можно проиллюстрировать с помощью уравнения:

Г = А – с * h (3.1)

где с – равновесная концентрация вещества в объёме фазы, моль/м 3 ;

h - толщина поверхностного слоя, условно принимаемая равной 10 -9 м.

В многокомпонентных гетерогенных системах при перераспределœении того или иного компонента между объёмом гомогенной фазы и поверхностным слоем справедливо уравнение для избыточной внутренней энергии поверхности:

U = T * S + s * s + Sm i * n i (3.2)

Приведя всœе члены уравнения к единице площади межфазной поверхности, получим:

U s = T * S s + s + Sm i * Г i (3.3)

где Г i = n i / s – избыток i -го компонента в поверхностном слое, то есть гиббсовская адсорбция.

Для однокомпонентной системы уравнение (3.3) примет вид:

G s = s + m * Г (3.4)

где G s = U s - T * S s – энергия Гиббса поверхности или работа создания единицы площади поверхности;

m * Г – уплотнение вещества адсорбируемого вещества в поверхностном слое.

Исходя из уравнения (3.4) можно сделать вывод о том, что при адсорбции работа по созданию межфазной поверхности складывается из работы образования поверхности (разрыва когезионных связей в объёме фазы адсорбата) и уплотнения вещества в поверхностном слое.

В состоянии динамического равновесия между адсорбентом и адсорбатом изменение энергии Гиббса гетерогенной системы ΔG = 0, термодинамика процесса адсорбции описывается уравнением, получившим название фундаментальное адсорбционное уравнение Гиббса :

Ds = SГ i * dm i (3.5)

Данное уравнение является универсальным, так как справедливо для всœех типов адсорбционных процессов

Частные случаи адсорбционного уравнения Гиббса.

1) Адсорбция из растворов.

Для химического потенциала i -го компонента системы при протекании адсорбции на границах раздела ʼʼжидкость – твердый адсорбентʼʼ и ʼʼжидкость – газʼʼ справедливы уравнения:

m i = m i 0 + R*T*ln a i (3.6)

dm i = R*T* d ln a i (3.7)

где m i 0 - химический потенциал i -го компонента системы при стандартных условиях;

a i – активность i -го компонента системы при стандартных условиях.

Исходя из этого, адсорбционное уравнение Гиббса примет вид:

Г i = - a i / R*T * (ds / da i) (3.8)

Для растворов неэлектролитов принимаем a i = с i , тогда:

Г i = - с / R*T * (ds / dс) (3.9)

Для растворов электролитов:

Г i = - с ± n / R*T * (ds / dс ± n) (3.10)

где с ± - средняя ионная концентрация раствора;

n - стехиометрический коэффициент.

2) Адсорбция веществ из газовой фазы.

В соответствии с уравнением Менделœеева-Клайперона:

Р = с * R*T (3.11)

В связи с этим, уравнение Гиббса для адсорбции газов на твердых адсорбентах записывают в следующей форме:

Г i = - Р / R*T * (ds / dР) (3.12)

На практике адсорбционное уравнение Гиббса позволяет по данным измерения поверхностного натяжения при различных значениях концентрации жидкости или равновесного давления газа рассчитать величину адсорбции веществ в межфазном слое, для которого определœено поверхностное натяжение.

Термодинамика адсорбционных процессов. - понятие и виды. Классификация и особенности категории "Термодинамика адсорбционных процессов." 2017, 2018.

Адсорбция как самопроизвольное концентрирование молекул на поверхности сопровождается понижением энтропии системы. Так как критерием самопроизвольности процесса являет­ся

∆Н - T · ∆S = ∆G< 0,

то адсорбция возможна только при ∆Н < 0 (экзотермический процесс). Равновесие определяется условием ∆Н = T · ∆S. При повышении температуры равновесие смещается в сто­рону эндотермического процесса, т. е. десорбции.

Адсорбция на поверхности твердого тела

1. Мономолекулярная адсорбция.

По теории Ленгмюра молекулы адсорбтива взаимодействуют с поверхностью адсорбента, образуя в итоге мономолекулярный слой. B этом случае степень заполнения () поверхности адсорбируе­мым веществом при адсорбции из газовой фазы

из жидкости

где К - константа равновесия (константа адсорбции);

р - парциальное давление адсорбируемого газа;

с - концентрация адсорбируемого вещества.

Зависимость β от р (или с) представлена графиком (изотерма адсорбции, Т = const) на рис. 1.3.

Рис. 1.3. Степень заполнения поверхности адсорбируемым веществом

При малых концентрациях и парциальных давлениях адсорбция пропорциональна концентрации или парциальному давлению:

р<< 1, β ≈ К · р илис<< 1, β ≈ К · с, т.е. начальный участок изотермы приблизительно линеен, причем tg α = К(tg α определяют по наклону кривой при р (или с) → 0: или ).

Если - количество молей адсорбированного вещества на 1 г адсорбента; - максимально возможное количество молей адсорбированного вещества на 1 г адсорбента ("емкость мо­нослоя"), то

Подставляя β в уравнение (1.3) (для случая адсорбции из газовой фазы концентрацию с в уравнениях следует заменить на давление р ), получаем:

(1.6)

Так как и К в данной паре адсорбент-адсорбтив являются константами (при T =const), то по зависимости можно найти и К (рис. 1.4).

Рис. 1.4. Графическое решение уравнения адсорбции

получают путем экстраполяции экспериментальной линейной зави­симости к () = 0; и, так как , то , .

Величину можно использовать для определения удельной поверхности адсорбента УД (в м 2 на 1 г адсорбента), если из­вестна площадь ω, занимаемая на поверхности одной молекулой адсорбтива (определяется из размеров молекулы):

УД = · ω · Nа, (1.7)

где Nа - число Авогадро (Nа = 6,02 · 10 23).

В свою очередь, известную величину УД можно использовать для расчета или ωлюбого вещества по его адсорб­ции на данном адсорбенте.



2. Полимолекулярная адсорбция.

Уравнение (1.5) описывает кривую с насыщением, т.е. при

р (или с) → ∞ стремится к предельному значению, равному (рис. 1.5,а).

Рис.1.5. Изотермы адсорбции:

а – адсорбция с насыщением; б – полимолекулярная адсорбция

Однако в некоторых случаях изотермы адсорбции выглядят как показано на рис. 1.5,б, т.е. не достигает предела даже при высоких р (или с).

Зависимости типа показанной на рис. 1.5,б соответствуют по­лимолекулярной адсорбции. Как правило, такие изотермы характерны для веществ с сильными межмолекулярными взаимодействиями (например, для во­ды). Когда центры адсорбции на поверхности адсорбента заняты (мономолекулярный слой насыщен), "посадка" следующих молекул адсорбата происходит за счет межмолекулярных взаимодействий с уже адсорбированными молекулами (рис.1.6). Теплота такой адсорбции близка по абсолютной величине, но противопо­ложна по знаку теплоте испарения соответствующей жидкости (подумайте, почему).

Рис.1.6. Схема адсорбции:

а - мономолекулярная адсорбция; б - полимолекулярная адсорбция

По мере приближения р к давлению насыщенного пара адсор­бируемого вещества оно начинает конденсироваться на поверхнос­ти адсорбента, в результате быстро растет с ростом р .

Адсорбция имеет место на границе раздела фаз. Поэтому термодинамическое описание поверхностных явлений елесообразно рассматривать как частный случай термодинамики гетерогенных систем.

Рис. 3.4. Адсорбция по Гиббсу:1- двухфазная система сравнения, 2- реальная двухфазная система с неоднородной областью

В термодинамике гетерогенных систем используется принцип аддитивности , который заключается в следующем: все экстенсивные свойства гетерогенной системы равны сумме соответствующих экстенсивных свойств, которыми обладали бы фазы до того, как их привели в контакт. Обозначим фазы через α и β (рис.4). Тогда для идеальной системы, такой, что свойства фаз вблизи поверхности раздела совпадают с их объемными свойствами, для внутренней энергии U, объема V, массы (числа молей) n, энтропии S после установления равновесия в гетерогенной системе справедливы соотношения:

U = U α + U β , V = V α + V β , n = n α + n β , S = S α + S β

При этом подразумевается, что температура и давление в обеих фазах одинаковы.

Для реальных гетерогенных систем переходная область на границе двух фаз вносит дополнительный вклад в экстенсивные свойства системы. Если поверхностные явления имеют место, следует учитывать отличие экстенсивных свойств реальной гетерогенной системы от экстенсивных свойств модельной системы, в которой поверхностные явления отсутствуют. Такая система называется системой сравнения. Система сравнения обладает теми же интенсивными параметрами (T, P, C i …) и таким же объемом V, что и реальная система (рис. 4).

С термодинамической точки зрения под величиной адсорбции Г понимают избыточное количество вещества n s , выраженное в молях или граммах, которым обладает реальная гетерогенная система по сравнению с системой сравнения, отнесенное к площади поверхности раздела фаз или к площади поверхности адсорбента А. Принимается, что система сравнения обладает теми же интенсивными параметрами (T, P, C i), и таким же объемом (V = V α + V β), что и реальная система (рис.4).

Г = (n - n α - n β)/A = n s /A 3.11

Избыточные термодинамические функции переходной области реальной системы (обозначим их индексом s) можно записать как



U s = U - U α - U β , n s = n - n α - n β , S s = S - S α - S β и т.д.

Экспериментальные измерения адсорбции всегда дают адсорбцию именно как избыток компонента в реальной системе по сравнению с выбранной системой сравнения. Например, при адсорбции газа на твердом адсорбенте или при адсорбции компонентов на твердой фазе для нахождения величин адсорбции определяют изменение начальных концентраций адсорбата после соприкосновения фаз α и β

n i s = V(C i o - C i),

где C i o – исходные концентрация i –го компонента, C i – концентрация i – го компонента после установления равновесия между соприкасающимися фазами. При этом считается, что объем V не меняется. Однако, концентрация i -го компонента C i , полученная экспериментально, определяется в объеме V’ над поверхностью раздела фаз без учета объема неоднородной области переходного слоя V α у границы раздела, где концентрация составляет C i α . Таким образом, ввиду существования в реальной системе неоднородной области, общий объем системы можно представить как V = V’ + V α . Всё количество i –го компонента C i o распределится между этими двумя объемами:



V C i o = V’ C i + V α C i α ,

и число молей компонента i , адсорбированного на поверхности раздела фаз, будет равно

n i s = (V’C i + V α C i α) – (V’ + V α)C i = V α (C i α – C i) 3.12

Т.е. определяемая экспериментально адсорбция есть избыток i-го компонента в объеме V α по сравнению с количеством этого компонента в таком же объеме вдали от поверхности раздела фаз. Именно такая адсорбция называется адсорбцией по Гиббсу .

V α C i α называется полным содержанием i- го компонента в адсорбционном слое. В области очень малых концентраций C i в объеме V’ поправкой V α C i уравнения (3.2) можно пренебречь и считать измеренную величину V α C i α полным содержанием i- го компонента в адсорбционном слое, например, при адсорбции газа на твердом адсорбенте при низких давлениях.

просмотров